Chlorine Gas Grams . Count the number of each atom. Density of chlorine is equal to. Density of chlorine gas is equal. there are 4 easy steps to find the molar mass of cl based on its chemical formula. steps to calculate molar mass. chlorine gas weighs 0.002898 gram per cubic centimeter or 2.898 kilogram per cubic meter, i.e. For example, water is h. chlorine weighs 0.002898 gram per cubic centimeter or 2.898 kilogram per cubic meter, i.e. Visit byju's to understand the. explanation of how to find the molar mass of cl2: Write down the chemical formula of the compound. chlorine gas, though of the halogen group in the periodic table, falls under group 17 and not group 13.
from www.chegg.com
chlorine gas weighs 0.002898 gram per cubic centimeter or 2.898 kilogram per cubic meter, i.e. Write down the chemical formula of the compound. Visit byju's to understand the. Density of chlorine gas is equal. chlorine gas, though of the halogen group in the periodic table, falls under group 17 and not group 13. Density of chlorine is equal to. chlorine weighs 0.002898 gram per cubic centimeter or 2.898 kilogram per cubic meter, i.e. there are 4 easy steps to find the molar mass of cl based on its chemical formula. steps to calculate molar mass. explanation of how to find the molar mass of cl2:
Solved How many grams of chlorine gas are needed to make
Chlorine Gas Grams steps to calculate molar mass. Write down the chemical formula of the compound. there are 4 easy steps to find the molar mass of cl based on its chemical formula. steps to calculate molar mass. explanation of how to find the molar mass of cl2: chlorine weighs 0.002898 gram per cubic centimeter or 2.898 kilogram per cubic meter, i.e. chlorine gas weighs 0.002898 gram per cubic centimeter or 2.898 kilogram per cubic meter, i.e. For example, water is h. Density of chlorine gas is equal. Density of chlorine is equal to. chlorine gas, though of the halogen group in the periodic table, falls under group 17 and not group 13. Count the number of each atom. Visit byju's to understand the.
From www.chegg.com
Solved 61) How many moles of chlorine gas are needed to make Chlorine Gas Grams Write down the chemical formula of the compound. Density of chlorine gas is equal. Visit byju's to understand the. chlorine weighs 0.002898 gram per cubic centimeter or 2.898 kilogram per cubic meter, i.e. there are 4 easy steps to find the molar mass of cl based on its chemical formula. explanation of how to find the molar. Chlorine Gas Grams.
From www.numerade.com
SOLVED 12. Determine each quantity for 20.0L sample of' Chlorine gas Chlorine Gas Grams Count the number of each atom. there are 4 easy steps to find the molar mass of cl based on its chemical formula. Visit byju's to understand the. chlorine gas, though of the halogen group in the periodic table, falls under group 17 and not group 13. chlorine weighs 0.002898 gram per cubic centimeter or 2.898 kilogram. Chlorine Gas Grams.
From www.numerade.com
Chlorine gas reacts with fluorine gas to form chlorine trifluoride. Cl2 Chlorine Gas Grams Visit byju's to understand the. steps to calculate molar mass. For example, water is h. chlorine gas weighs 0.002898 gram per cubic centimeter or 2.898 kilogram per cubic meter, i.e. Density of chlorine gas is equal. chlorine gas, though of the halogen group in the periodic table, falls under group 17 and not group 13. there. Chlorine Gas Grams.
From www.numerade.com
SOLVED Question 1 (1 point) How many grams of chlorine gas can be Chlorine Gas Grams Density of chlorine is equal to. chlorine gas weighs 0.002898 gram per cubic centimeter or 2.898 kilogram per cubic meter, i.e. Write down the chemical formula of the compound. steps to calculate molar mass. Density of chlorine gas is equal. For example, water is h. there are 4 easy steps to find the molar mass of cl. Chlorine Gas Grams.
From www.coursehero.com
[Solved] Solid aluminum metal reacts with chlorine gas to produce Chlorine Gas Grams chlorine weighs 0.002898 gram per cubic centimeter or 2.898 kilogram per cubic meter, i.e. steps to calculate molar mass. Write down the chemical formula of the compound. chlorine gas, though of the halogen group in the periodic table, falls under group 17 and not group 13. Count the number of each atom. explanation of how to. Chlorine Gas Grams.
From www.numerade.com
SOLVED A) For the following reaction, 3.26 grams of chlorine gas are Chlorine Gas Grams chlorine gas weighs 0.002898 gram per cubic centimeter or 2.898 kilogram per cubic meter, i.e. Visit byju's to understand the. Density of chlorine is equal to. For example, water is h. chlorine gas, though of the halogen group in the periodic table, falls under group 17 and not group 13. there are 4 easy steps to find. Chlorine Gas Grams.
From questions.kunduz.com
According to the following reaction, how Physical Chemistry Chlorine Gas Grams Visit byju's to understand the. Density of chlorine is equal to. chlorine weighs 0.002898 gram per cubic centimeter or 2.898 kilogram per cubic meter, i.e. Count the number of each atom. Write down the chemical formula of the compound. For example, water is h. explanation of how to find the molar mass of cl2: Density of chlorine gas. Chlorine Gas Grams.
From www.numerade.com
SOLVED How many chlorine atoms are in 18 grams of chlorine gas? Chlorine Gas Grams Visit byju's to understand the. Density of chlorine gas is equal. Write down the chemical formula of the compound. chlorine weighs 0.002898 gram per cubic centimeter or 2.898 kilogram per cubic meter, i.e. chlorine gas weighs 0.002898 gram per cubic centimeter or 2.898 kilogram per cubic meter, i.e. steps to calculate molar mass. chlorine gas, though. Chlorine Gas Grams.
From www.numerade.com
SOLVED According to the following reaction, how many grams of chlorine Chlorine Gas Grams chlorine gas weighs 0.002898 gram per cubic centimeter or 2.898 kilogram per cubic meter, i.e. For example, water is h. Visit byju's to understand the. steps to calculate molar mass. Write down the chemical formula of the compound. Count the number of each atom. Density of chlorine is equal to. Density of chlorine gas is equal. there. Chlorine Gas Grams.
From www.numerade.com
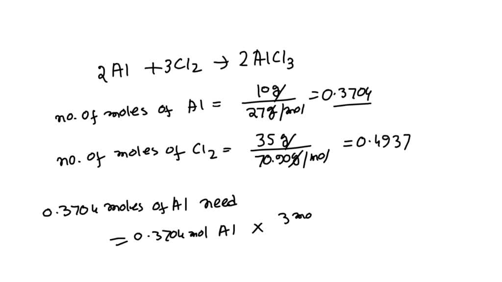
SOLVED 10.g of aluminum reacts with 35. grams of chlorine gas to Chlorine Gas Grams there are 4 easy steps to find the molar mass of cl based on its chemical formula. Visit byju's to understand the. Density of chlorine is equal to. Density of chlorine gas is equal. chlorine gas, though of the halogen group in the periodic table, falls under group 17 and not group 13. Count the number of each. Chlorine Gas Grams.
From www.numerade.com
SOLVED For the following reaction, 124 grams of phosphorus (P4) are Chlorine Gas Grams chlorine gas weighs 0.002898 gram per cubic centimeter or 2.898 kilogram per cubic meter, i.e. Density of chlorine gas is equal. explanation of how to find the molar mass of cl2: steps to calculate molar mass. there are 4 easy steps to find the molar mass of cl based on its chemical formula. Count the number. Chlorine Gas Grams.
From www.numerade.com
SOLVED Aluminium reacts with Chlorine gas to form Aluminium Chloride Chlorine Gas Grams For example, water is h. Density of chlorine gas is equal. there are 4 easy steps to find the molar mass of cl based on its chemical formula. chlorine weighs 0.002898 gram per cubic centimeter or 2.898 kilogram per cubic meter, i.e. chlorine gas, though of the halogen group in the periodic table, falls under group 17. Chlorine Gas Grams.
From www.numerade.com
SOLVED For the following reaction, 28.1 grams of bromine are allowed Chlorine Gas Grams chlorine gas, though of the halogen group in the periodic table, falls under group 17 and not group 13. Write down the chemical formula of the compound. chlorine gas weighs 0.002898 gram per cubic centimeter or 2.898 kilogram per cubic meter, i.e. there are 4 easy steps to find the molar mass of cl based on its. Chlorine Gas Grams.
From www.chegg.com
Solved 8 points How many grams of chlorine gas are required Chlorine Gas Grams Density of chlorine gas is equal. chlorine gas weighs 0.002898 gram per cubic centimeter or 2.898 kilogram per cubic meter, i.e. chlorine gas, though of the halogen group in the periodic table, falls under group 17 and not group 13. explanation of how to find the molar mass of cl2: chlorine weighs 0.002898 gram per cubic. Chlorine Gas Grams.
From www.numerade.com
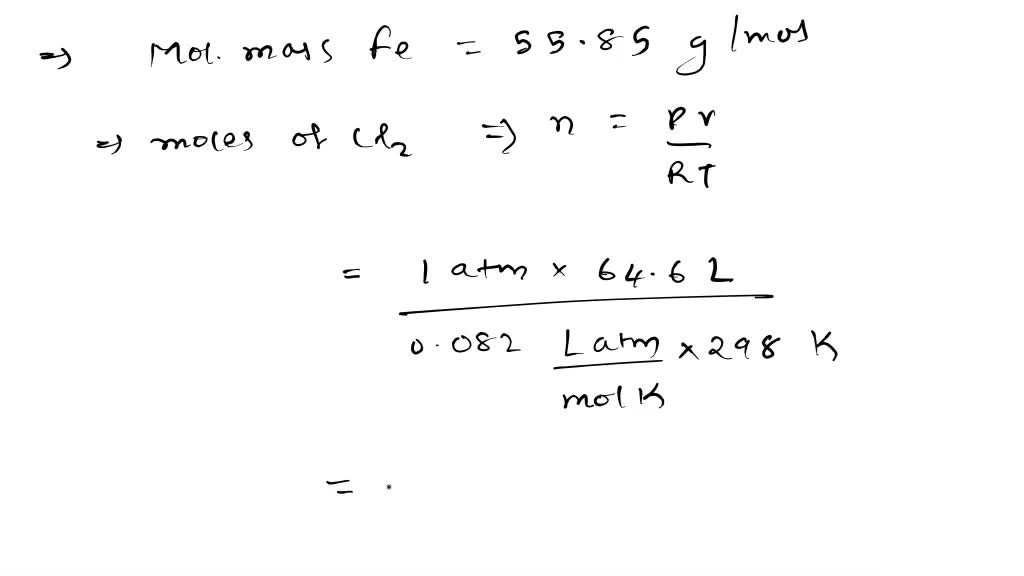
SOLVED How many grams of iron are needed to completely consume 64.6 L Chlorine Gas Grams Visit byju's to understand the. chlorine gas, though of the halogen group in the periodic table, falls under group 17 and not group 13. Density of chlorine is equal to. there are 4 easy steps to find the molar mass of cl based on its chemical formula. Write down the chemical formula of the compound. chlorine gas. Chlorine Gas Grams.
From www.numerade.com
SOLVED For the following reaction, 17.8 grams of chlorine gas are Chlorine Gas Grams Density of chlorine is equal to. Count the number of each atom. chlorine gas, though of the halogen group in the periodic table, falls under group 17 and not group 13. Density of chlorine gas is equal. steps to calculate molar mass. Visit byju's to understand the. chlorine gas weighs 0.002898 gram per cubic centimeter or 2.898. Chlorine Gas Grams.
From www.numerade.com
SOLVED According to the following reaction; how many grams of chlorine Chlorine Gas Grams Write down the chemical formula of the compound. Density of chlorine is equal to. chlorine weighs 0.002898 gram per cubic centimeter or 2.898 kilogram per cubic meter, i.e. chlorine gas, though of the halogen group in the periodic table, falls under group 17 and not group 13. Density of chlorine gas is equal. Visit byju's to understand the.. Chlorine Gas Grams.
From www.bartleby.com
Answered 2. What mass of chlorine gas, Cl2 in… bartleby Chlorine Gas Grams Visit byju's to understand the. Write down the chemical formula of the compound. explanation of how to find the molar mass of cl2: chlorine gas, though of the halogen group in the periodic table, falls under group 17 and not group 13. there are 4 easy steps to find the molar mass of cl based on its. Chlorine Gas Grams.